IES Leandro Fernández Moratín (Pastrana)
¡Hola chic@s!
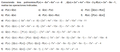
Os dejo por aquí ejercicios de sumas y restas de polinomios, ya que me lo habéis pedido esta mañana:
¡Espero os sirvan! 😊👏
Hasta mañana,
Inma
Muchas gracias profe seguro que nos ayuda mucho esto para el examen de mañana
Gracias así tengo repaso.Izan Ramos Contreras
Muchas gracias profe seguro que nos ayuda mucho esto para el examen de mañana
ResponderEliminarGracias así tengo repaso.
ResponderEliminarIzan Ramos Contreras